2026年4月14日,夜色直播 药事管理与临床药学系胥洋副研究员团队与荷兰莱顿大学医学中心、瑞典卡罗林斯卡夜色直播 合作完成的研究成果“Risk of Heart Failure Hospitalization for GLP-1 Receptor Agonists Versus DPP-4 Inhibitors or SGLT-2 Inhibitors in Patients With Type 2 Diabetes: A Target Trial Emulation”(GLP-1受体激动剂对比DPP-4抑制剂或SGLT-2抑制剂对2型糖尿病患者心力衰竭住院风险的影响:一项目标试验模拟研究),在国际心血管领域顶刊Circulation以Featured Article形式发表,并同期配发编辑社论(Editorial)和播客(Podcast)。

随着全球2型糖尿病患病人数持续攀升,糖尿病相关并发症防治已成为临床医学与公共卫生领域关注的重要议题。心力衰竭是2型糖尿病患者常见且严重的心血管并发症之一,其发生风险显著高于一般人群。因此,如何在糖尿病患者中有效开展心力衰竭的一、二级预防,已成为当前临床管理和药物治疗优化的重要方向。近年来,GLP-1受体激动剂在改善血糖控制和降低动脉粥样硬化性心血管事件风险方面已显示出明确获益,但其是否能够降低心力衰竭住院风险,现有证据仍不一致。同时,这一潜在效应究竟属于GLP-1受体激动剂的类别效应,还是主要由特定药物驱动,尚缺乏清晰结论。与当前指南广泛推荐、具有明确心衰获益证据的SGLT-2抑制剂相比,GLP-1受体激动剂在心力衰竭预防方面的相对疗效也仍有待进一步明确。在随机对照试验结果存在分歧的背景下,基于真实世界数据开展高质量因果推断研究,对于补充临床证据、服务临床决策具有重要意义。
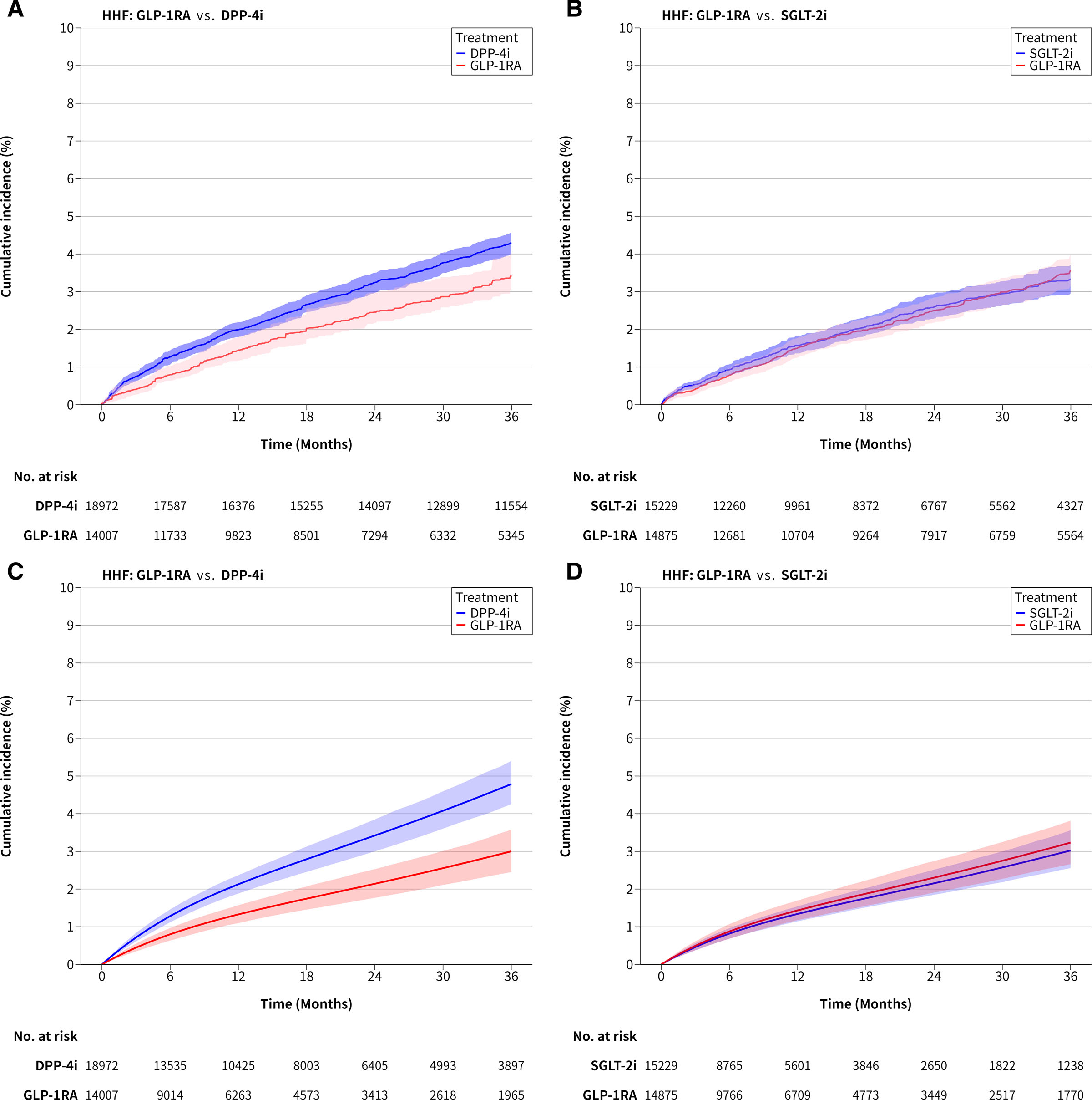
针对上述问题,研究团队基于目标试验模拟(target trial emulation)框架,利用SCREAM数据库2010年至2021年的医疗数据,构建了两个目标试验。目标试验1比较GLP-1受体激动剂与DPP-4抑制剂在2型糖尿病患者中心力衰竭住院风险方面的差异,其中DPP-4抑制剂作为相对“中性”对照,以估计接近安慰剂参照情境下的效果;目标试验2则比较GLP-1受体激动剂与SGLT-2抑制剂,以评估其相对于当前标准治疗策略的效果。研究采用Cox回归模型估计意向治疗效应,并通过逆概率加权方法控制混杂因素。同时,研究还进一步分析了利拉鲁肽、司美格鲁肽等具体药物的效应,并基于TRS-HFDM(Thrombolysis in Myocardial Infarction Risk Score for Heart Failure in Diabetes)评分进行基线心力衰竭风险分层,以评估GLP-1受体激动剂在不同风险人群中的潜在应用价值。
研究结果表明,在纳入超过3万名2型糖尿病患者的真实世界研究中,与DPP-4抑制剂相比,GLP-1受体激动剂与更低的心力衰竭住院风险相关,且这一绝对风险获益在基线心力衰竭预测风险最高的患者中最为明显。进一步比较显示,GLP-1受体激动剂与SGLT-2抑制剂在心力衰竭住院风险方面总体相似。单药分析结果提示,利拉鲁肽和司美格鲁肽的效应方向与总体分析一致,支持GLP-1受体激动剂在心力衰竭预防方面可能具有较为稳定的类别效应。该研究为GLP-1受体激动剂在2型糖尿病患者心力衰竭预防中的临床价值提供了新的真实世界证据,也进一步拓展了该类药物在心血管代谢综合管理中的应用认识。研究结果提示,在临床实践中,GLP-1受体激动剂不仅相较DPP-4抑制剂具有更优的降低心力衰竭住院风险表现,而且在这一结局上与SGLT-2抑制剂相当,为2型糖尿病患者特别是心衰高风险人群的个体化用药决策提供了重要参考。

GLP-1受体激动剂相较于DPP-4抑制剂及SGLT-2抑制剂在心力衰竭住院风险上的加权累积发病曲线

利拉鲁肽或司美格鲁肽相较于DPP-4抑制剂及SGLT-2抑制剂在心力衰竭住院风险上的加权累积发病曲线
日本京都大学Kosuke Inoue教授和哈佛大学医夜色直播 Dhruv S. Kazi教授在同期编辑社论中对该研究给予高度评价:“胥及其同事通过严谨应用目标试验模拟框架,增进了学界对GLP-1受体激动剂治疗与糖尿病患者心力衰竭风险之间关系的理解。随着全球范围内GLP-1受体激动剂使用的迅速增加,这项研究提供了及时且具有临床相关性的见解,有助于循证实践,并推动更加全面的心血管代谢管理。”。
夜色直播-夜色直播app-夜色直播下载 胥洋副研究员为论文的第一作者和通讯作者。该项研究得到国家自然科学青年基金(基金号:82304245)的支持。
文章链接://www.ahajournals.org/doi/10.1161/CIRCULATIONAHA.125.075157
【作者简介】

胥洋,夜色直播-夜色直播app-夜色直播下载 副研究员,博士生导师。主要研究方向为基于因果推断方法的药械真实世界有效性/安全性评价。先后承担/参与国家自然科学基金和科技部重点研发计划等多个研究项目,以第一作者或通讯作者在JAMA Internal Medicine、Diabetes Care、Kidney International、Alzheimer's & Dementia等期刊发表学术论文20余篇。
药事管理与临床药学系